Reading time: about 3 minuts
The development of highly complex chemical systems, self-assembled by the donor-acceptor and/or noncovalent interactions, lays at the core of supramolecular chemistry. Recently, increasing attention has been paid to structurally adaptable molecular systems and robust noncovalent microporous materials (NPMs), also known as molecular porous materials (MPMs) or porous molecular crystals (PMCs), based on the self-assembly of discrete molecules driven by weak interactions The utilization of molecular metal clusters as building units of NPMs is a promising strategy, combining the versatile functionality of organic and inorganic subunits with the softness and flexibility of molecular solids controlled by noncovalent interactions. However, the development of robust porous functional frameworks based on self-assembly driven by noncovalent forces is still highly challenging.
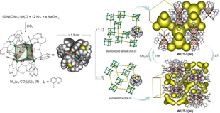
Now, researchers from the Institute of Physical Chemistry, Polish Academy of Sciences in Warsaw and Warsaw University of Technology led by prof. Janusz Lewiński in collaboration with Prof. David Fairen-Jimenez from Cambridge University have developed an efficient method for the preparation of a nanosized Ni(II) hydroxyquinolinato(L)-carbonato(CO3) cluster, [Ni10(μ6-CO3)4(L)12]. This decanuclear cluster, depending on the crystallization conditions, self-assembles into either of two microporous frameworks: diamondoid WUT-1(Ni) and pyrite WUT-2(Ni). The transitions between both polymorphs can also be selectively triggered by temperature or exposure to vapors of a particular organic solvent, which is accompanied by the easy recovery of crystallinity by the materials from the noncrystalline phase - said Dr. Iwona Justyniak, a co-author of the study.

Remarkably, both materials exhibit excellent thermal and chemical stability under aerobic as well as aqueous conditions, and demonstrate interesting gas adsorption properties. WUT-1(Ni) exhibits significant enhancement in gas uptake compared to the previously reported isostructural Zn(II) analogue, WUT-1(Zn), representing one of the highest H2 uptakes among NPMs. In turn, tighter voids of the ultramicroporous WUT-2(Ni) framework facilitate selective interactions with gas molecules, resulting in outstanding selectivity in the adsorption of CO2 over CH4 and N2. Thus, a simple substitution of Zn(II) by Ni(II) in isostructural clusters not only increased their chemical stability but also significantly enhanced the interactions of the WUT-1-type framework with gas molecules – added PhD student Katarzyna Sołtys-Brzostek, a main research performer.
The presented studies demonstrate the profound role of the character of metal centers on the self-assembly of isostructural nanoclusters as well as properties of the resulting microporous frameworks. Moving forward, the insight gained should aid in the development of advanced porous solid-state materials.
CONTACT:
Prof. Janusz Lewiński
Institute of Physical Chemisty, Polish Academy of Sciences
email: janusz.lewinski@pw.edu.pl
ARTICLE:
“Tunable Self-Assembly of Decanuclear Ni(II) Carbonato Clusters with a Hydroxyquinolinato Shell: Robust Porous Networks with Reversible Solvent-/Temperature-Driven Phase Transitions and Selective Gas Separation”
Katarzyna Sołtys-Brzostek, Kamil Sokołowski, Iwona Justyniak, Aurelia Li, David Fairen-Jimenez, Alicja Supeł, Michał Terlecki, Janusz Lewiński
Journal of the American Chemical Society, Vol 147/ Issue 22